广东-凤楼论坛_楼凤宫论坛(品茶)_小海棠全国论坛最新信息_凤江湖论坛入口

浙轮电力主营APF有源电力滤波装置、电容器系列、电抗器系列、智能复合开关和无功补偿控制器等产品。
ZLDL-电抗器系列
ZLDL-ZXL正弦波滤波电抗器
所属分类:ZLDL-电抗器系列

 应用电路:
异步电机变频传动,变频器输出侧,抑制及吸收开关频率纹波电流所衍生的高次谐波电流,降低长电缆行波反射dv/dt瞬变电压,矫正波形近似为正弦波,大大延长了输出电缆长度,从而降低电机涡流损耗及噪音,保护电机绝缘。


性能特点


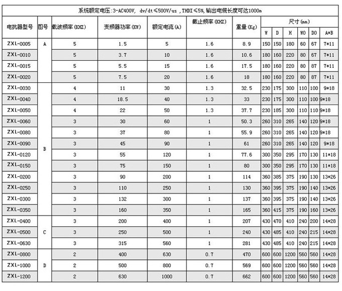
尺寸及技术参数:



正弦波滤波器(UD=8%-12.5%)技术参数:

备注:
产品标示A、B、C为滤波器三相输入端,X、Y、Z为滤波器三相输出端,L、N为220V风机电源接线端。

主站蜘蛛池模板: 澎湖县| 建昌县| 凭祥市| 庆阳市| 安丘市| 雅江县| 神木县| 康平县| 县级市| 彭州市| 合山市| 洪雅县| 泗阳县| 平乡县| 方山县| 沁源县| 秦皇岛市| 始兴县| 成安县| 邯郸县| 黄冈市| 麦盖提县| 利津县| 乌兰浩特市| 平乡县| 湘乡市| 太康县| 繁峙县| 肥乡县| 亚东县| 竹山县| 苏尼特左旗| 道孚县| 翁牛特旗| 伽师县| 科技| 惠水县| 邯郸县| 江川县| 乐山市| 新干县|